Abstract: 数字图像处理:第24天
Keywords: 频域滤波,高斯滤波器,布特沃斯滤波器
开篇废话
依然是废话开始,滤波器的起源就是频域来的,针对频域特性,滤波器被设计成各种各样的功能,但是频域滤波器都是线性的,转换到空域生成的卷积模板也是线性的,而有些从空域出发设计的滤波模板并不是线性的,判断是不是线性可以使用以下判断方法,也是信号与系统中常用的方法,$F(ax+by)=aF(x)+bF(y)$ 如果满足就是线性的,不满足则不是。常见的滤波模板中涉及到排序的,都不是线性模板,而通过频域设计然后转换为空域模板的,都是线性的模板。
由于滤波原理上一篇中已经做了详细的介绍,本篇主要记录几种常见的滤波器,并分析其滤波特点。主要介绍内容如下: 
由于同态滤波的特殊性,将在下一篇中介绍,对于每种滤波器,都会分析其功率和振铃现象。
现在给出一个常用的距离函数,将在所有下面所有滤波器中使用,使用欧氏距离,因为频率域的距离代表的是带宽,所以,截止频率,带宽意义重大 $(P,Q)$ 为频谱大小,也是上篇中填充后的空域图像大小,并且我们使用的频谱都是中心化了的:
测试图片为:
平滑-低通滤波器
低通滤波器,顾名思义,只通过低频信号截断高频成分,在频谱中,中间部分为低频,四周为高频,截断点由滤波器的宽度决定,也就是截止频率,不同的截止频率对应于不同的效果和不同的剩余功率。
ILPF
理想低通滤波器,就是简单的截断,或者说设置一个频率阈值,大于阈值的频谱置零,小于等于阈值的不变:
这个效果就是频域的一个圆形,我们来观察,频域截止频率为50,P,Q为512的ILPF:
下面来观察滤波器在截止频率为10,20,30的振铃和频率特性:
截止频率10,滤波后剩余功率50.196378%,有振铃: 
截止频率20,滤波后剩余功率78.559714%,有振: 
截止频率30,滤波后剩余功率88.736089%,有振: 
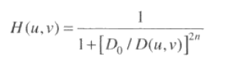
BLPF
布特沃斯低通滤波器,采用布特沃斯公式,产生一种低阶时转折平滑,高阶时转折尖锐的滤波器:
示意图如下:
下面观察2阶和10阶布特沃斯滤波器在截止频率10,20,30时的表现:
2阶:
截止频率10,滤波后剩余功率40.044113%,无振铃:
截止频率20,滤波后剩余功率59.692304%,无振铃:
截止频率30,滤波后剩余功率70.964773%,无振铃:
10阶:
截止频率10,滤波后剩余功率46.72560%,有振铃:
截止频率20,滤波后剩余功率74.527332%,有振铃:
截止频率30,滤波后剩余功率86.566573%,有振铃:
GLPF
由高斯公式产生的滤波器,由于高斯的傅里叶变换还是高斯的,所以变换无振铃效应:
滤波器示意图:
观察高斯滤波器在截止频率10,20,30时的表现:
截止频率10,滤波后剩余功率45036072%,无振铃:
截止频率20,滤波后剩余功率66.908677%,无振铃:
截止频率30,滤波后剩余功率77.419008%,无振铃:
锐化-高通滤波器
与低频对应的就是高频滤波器,同样我们介绍理想高通,布特沃斯高通,高斯高通,并提出钝化高提升高频强调滤波器;
IHPF

理想高通的滤波器示意图:
同样观察截止频率为10,20,30的滤波效果和振铃效应:
截止频率10,滤波后剩余功率51.407872%,有振铃:
截止频率20,滤波后剩余功率23.044536%,有振铃:
截止频率30,滤波后剩余功率12.868162%,有振铃:
BHPF
与低通布特沃斯相似,高通布特沃斯滤波器也是 一种低阶时转折平滑,高阶时转折尖锐的滤波器
我们同样观察2阶和10阶的布特沃斯在截止频率为10,20,30时的效果和振铃现象:
2阶:
截止频率10,滤波后剩余功率34.679332%,无振铃:
截止频率20,滤波后剩余功率18.029713%,无振铃:
截止频率30,滤波后剩余功率11.967571%,无振铃:
10阶:
截止频率10,滤波后剩余功率46.760049%,有振铃:
截止频率20,滤波后剩余功率20.167635%,有振铃:
截止频率30,滤波后剩余功率12.362897%,有振铃:
GHPF
与低通一致,高斯高通滤波器为:
示意图:
观察截止频率为10,20,30的滤波效果和振铃效应:
截止频率10,滤波后剩余功率34.706478%,无振铃:
截止频率20,滤波后剩余功率16.325098%,无振铃:
截止频率30,滤波后剩余功率11.140692%,无振铃:
部分代码
低通:1
2
3
4
5
6
7
8
9
10
11
12
13
14
15
16
17
18
19
20
21
22
23
24
25
26
27
28
29
30
31
32
33
34
35
36
37
38
39
40
41
static double Distance(int x,int y,int c_x,int c_y){
return sqrt((x-c_x)*(x-c_x)+(y-c_y)*(y-c_y));
}
void IdealLPFilter(double *Filter,int width,int height,double cut_off_frequency){
int center_x=width/2;
int center_y=height/2;
double distance=0.0;
for(int i=0;i<width;i++)
for(int j=0;j<height;j++){
distance=Distance(i,j,center_x,center_y);
if(distance<=cut_off_frequency)
Filter[j*width+i]=1.0;
else
Filter[j*width+i]=0.0;
}
}
void ButterworthLPfilter(double *Filter,int width,int height,double cut_off_frequency,int n){
int center_x=width/2;
int center_y=height/2;
for(int i=0;i<width;i++)
for(int j=0;j<height;j++){
double value=1.0;
for(int k=0;k<n;k++)
value*=(Distance(i, j, center_x, center_y)/cut_off_frequency);
Filter[j*width+i]=1/(1+value);
}
}
void GaussianLPFilter(double *Filter,int width,int height,double cut_off_frequency){
int center_x=width/2;
int center_y=height/2;
for(int i=0;i<width;i++)
for(int j=0;j<height;j++){
double value=Distance(i, j, center_x, center_y);
Filter[j*width+i]=exp(-value*value/(2*cut_off_frequency*cut_off_frequency));
}
}
高通:1
2
3
4
5
6
7
8
9
10
11
12
13
14
15
16
17
18
19
20
21
22
23
24
25
26
27
28
29
30
31
32
33
34
35
36
37
38
39
40
41
42
43
static double Distance(int x,int y,int c_x,int c_y){
return sqrt((x-c_x)*(x-c_x)+(y-c_y)*(y-c_y));
}
void IdealHPFilter(double *Filter,int width,int height,double cut_off_frequency){
int center_x=width/2;
int center_y=height/2;
double distance=0.0;
for(int i=0;i<width;i++)
for(int j=0;j<height;j++){
distance=Distance(i,j,center_x,center_y);
if(distance<=cut_off_frequency)
Filter[j*width+i]=0.0;
else
Filter[j*width+i]=1.0;
}
Filter[width*(height+1)/2]+=1.0;
}
void ButterworthHPfilter(double *Filter,int width,int height,double cut_off_frequency,int n){
int center_x=width/2;
int center_y=height/2;
for(int i=0;i<width;i++)
for(int j=0;j<height;j++){
double value=1.0;
for(int k=0;k<n;k++)
value*=(Distance(i, j, center_x, center_y)/cut_off_frequency);
Filter[j*width+i]=1.0-1.0/(1.0+value);
}
Filter[width*(height+1)/2]+=1.0;
}
void GaussianHPFilter(double *Filter,int width,int height,double cut_off_frequency){
int center_x=width/2;
int center_y=height/2;
for(int i=0;i<width;i++)
for(int j=0;j<height;j++){
double value=Distance(i, j, center_x, center_y);
Filter[j*width+i]=1.0-exp(-value*value/(2*cut_off_frequency*cut_off_frequency));
}
Filter[width*(height+1)/2]+=1.0;
}
钝化,高提升,高频强调
将高通滤波后的结果与原图进行一些加减,将得到钝化,高提升高频强调滤波器
对于下面公式k1控制距离原点的偏移量,k2控制高频贡献。
- k1=1时k2=1为钝化模板
- k1=1时k2>1为高提升滤波器
- k1=1时,统称高频强调滤波器
具体性质据定于所选用的滤波模板,与上面叙述的模板性质和截止频率有关,在这里不详细叙述。
代码:1
2
3
4
5
6
7
8
9
10
11
12
13
14
15
16
17
18
static double Distance(int x,int y,int c_x,int c_y){
return sqrt((x-c_x)*(x-c_x)+(y-c_y)*(y-c_y));
}
void HomorphicFilter(double *filter,int width,int height,double cut_off_frequency,double lambda_l,double lambda_h,double c){
int center_x=width/2;
int center_y=height/2;
double distance;
double distance_2;
double cut_off_frequency_2=cut_off_frequency*cut_off_frequency;
for(int i=0;i<height;i++)
for(int j=0;j<width;j++){
distance=Distance(j, i, center_x, center_y);
distance_2=distance*distance;
filter[i*width+j]=(lambda_h-lambda_l)*(1.0-exp(-c*distance_2/cut_off_frequency_2))+lambda_l;
}
}
总结
总结一下,这篇的理论在前面已经介绍了,所以更多是验证前面的结论,观察滤波效果。滤波中值得注意的是振铃现象,对于不能容忍人工缺陷的应用中,如医学图像处理,不能使用带有振铃现象的滤波器,在实际物理中,理想滤波器无法实现,所以更多的使用高斯和其他一些无振铃的滤波器
