Abstract: 数字图像处理:第17天
Keywords: 离散周期序列,傅里叶级数
本文最初发表于csdn,于2018年2月17日迁移至此
开篇废话
废话开始,本来以为奥本海姆的书会介绍所有傅里叶家族的变换,但唯独缺少数字图像处理要用的DFT,但感觉理解了傅里叶级数,傅里叶变换,离散时间傅里叶变换以后,DFT也基本没障碍了,这几篇写完之后就可以回归冈萨雷斯的书了,尤其是后面设计图像处理的滤波模板,应该好好深入研究一下。
想起之前去面试一家公司,技术面问我,空域卷积的时间复杂度是多少,我“说不加简化的是$whn*n$ ”,就是最简单的图像大小乘以窗口大小,然后他问为什么不转换到频域,我说傅里叶变换(DFT)很慢,他说“不是啊,FFT也很快啊,只需要 $n log(n)$ ,我顿时有点懵了,因为傅里叶我当时不太明白,然后我说‘这个我不太懂’,很明显最后他们没要我。。。。。想知道具体原因的同学我后面博客会详细说明原因,想想都觉得自己菜。
离散时间复指数序列的周期性
对于离散复指数序列的周期性,必须要说明一下采样,采样是离散化的关键,从连续信号到离散信号,我们进行的操作是取样,例如对信号 $f(t)$ 进行取样,取样间隔为1,那么得到序列 ${f(0),f(1),f(2),f(3),f(4)\dotsf(n)}$ ,实际中的例子:我们对sin(pi*x)和sin(3*pi*x)取样,正弦函数是复指数函数的一个对象,取样间隔为0.5,那么我们将得到下面的结果:
可以看出结果是一样的, 从公式上也能看出:
1.1
下图为周期间隔为PI的正弦函数的等间隔(0.5)取样示意图:
对于频率间隔为2*PI的复指数进行等间隔取样,其结果一致,这个原因也将导致离散周期傅里叶级数与连续周期傅里叶级数的重要区别。
傅里叶级数综合式
离散周期序列的傅里叶级数,与连续周期傅里叶级数的目的一样–为了分解信号,用成谐波关系的一组基信号来线性合成原始信号,基信号包含频率信息,可以从另一种角度分析信号信息。而离散周期傅里叶级数的特点是其级数项有限,而且不存在收敛问题,具体原因后面会详细介绍。
周期为N的周期信号序列表示为:
2.1
使上式成立的最小正整数N就是上述序列的周期, $w=\frac{2\pi}{N}$ ,就是基波的频率,例如下面的复指数序列:
2.2
上式周期为N,谐波集合的所有频率都是2*pi/N的倍数。根据上面我们提到的离散时间复指数序列的周期性,我们能得到:
2.3
当k变化是N的整数倍时,将得到一个一模一样的序列,数学原因是将式子1.1和式子2.2联立,就可以得到数学支持。
所以,一个成基波关系的有限项(N项)的线性组合:
2.4
k只在N个相继的整数区间内变化,不一定是0到N,也有可能是1到N+1,或者m到N+m,所以用
改写成下式:
2.5
式2.5就是离散时间傅里叶级数,系数ak就是傅里叶级数的系数。
傅里叶级数分析式
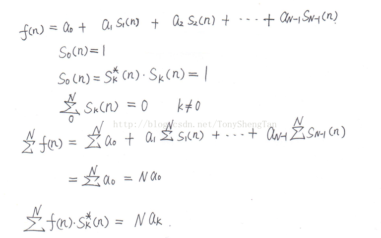
综合式确定以后,接下来就是确定各个级数的系数,这里采用和连续周期信号傅里叶级数同样的方法,下面式子可以看出,原始信号x共有N项已知,每项有一个N项的级数项组合,每个级数项对应一个未知系数,级数项可以计算,也就是说,有N个方程,N个未知数,且这些方程线性独立,所以系数是有唯一解集的,这也是离散周期信号傅里叶级数不存在收敛问题的愿意,其计算非求极限,而是实实在在的方程的解,而且离散周期信号序列肯定是绝对可和的,所以傅里叶级数一定存在。
但为了与连续形式相对应,我们不采用解方程的方法,而是使用与连续周期函数响应的方法,因为有以下性质:
3.2
推导如下:
$f(n)$ 为原始序列,$s(n)$ 为级数集合,$a_n$ 为对应的系数,根据上式可以得到 $s_0$ 的值处处为1(上式虽然值写了N项和为N,但通过复指数原始公式可以得出所有项都为1,因为e的指数是0,或者 $2\pi$ 的整数倍),$S^_k(n)$ 是 $S_k(n)$ 的共轭,所以,他们合体就是 $S_0$ ,所以结合上面公式,得到下面推导的最后结论。
将上面的推导过程综合成两步,使用的关键特性也是3.2:
得到分析结果
所以我们得到离散周期信号傅里叶级数:
性质
离散周期信号的傅里叶级数的性质与连续情况下类似,总结为原书中的下表:
在加一条帕斯瓦尔定理:
总结
离散时间周期信号的傅里叶级数与连续情况下的区别主要有:离散情况下不存在收敛问题,也没有吉伯斯现象,级数项是有限的N,并且离散时间周期序列傅里叶级数的系数是周期的,且周期为N。
