Abstract: 不同的输入对CNN的影响
Keywords: CNN,输入数据
CNN训练数据讨论
问题回顾
对于神经网络,同一样本不同的表现形式,不同的Normalization的方式,作为输入会带来不同的结果。
具体数据
分析
所谓同一样本的不同形式,比如彩色图片的不同色彩空间描述,RGB,YUV(YCbCr),LIS等色彩空间有着不同的表现方式,其本质(数学模式)虽然不同,但视觉效果都表征同一样本,或者将样本变形成灰度图像,样本类别没有发生变化,只是描述发生了转换,更深层的说法就是变量的域发生了改变。
以上描述了同一样本不同域的变化,相反,在同一域下,数值的scale也会引起训练结果的变化,原因笔者目前还不清楚,期待研究明白后能给出通俗,简单的解释。
本文数据来源:
2014
Ng, Choon Boon
Tay, Yong Haur
Goi, Bok Min
“Comparing image representations for training a convolutional neural network to classify gender”
实验
文章对行人进行性别分类,网络结构采用最古老的LeNet作为模板,对训练样本进行不同的处理产生了不同的结果,比较如下:
色彩空间变换,RGB,GRAY,YCbCr
YCbCr转换公式:
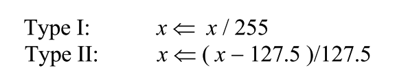
Normalization方式:


实验结果:

总结
不同变量域最后的结果差别较大
不同的Normalization的结果也不相同,Normalization的结果优于不normalization的结果。
另外,Normalization也会影响收敛速度
